cours:residanat:pneumologie:prise_en_charge_de_l_asthme_en_situation_d_urgence
Table des matières
Prise en charge de l'asthme en situation d'urgence
Objectifs pédagogiques :
- Connaître les éléments de gravité d'une crise d'asthme et les modalités de sa prise en charge
- Savoir apprécier la sévérité de l'exacerbation (critères de gravité)
- Prise en charge thérapeutique en fonction du degré de sévérité de l'exacerbation
- Surveillance de l'évolution de l'exacerbation (paramètres de surveillance clinique et fonctionnel)
- Savoir référer en fonction de la sévérité de l'exacerbation
1. Généralités
1.1. Définition de l'exacerbation d'asthme
- Épisode d'aggravation progressive des symptômes et de la fonction respiratoire = changement de statut du patient suffisant pour nécessiter un changement dans le traitement
- Peut être inaugurale
- Souvent en réponse à un facteur exogène (virus, pollen, pollution) , ou à un traitement insuffisant ; parfois, sans aucun facteur évident, même chez un asthmatique contrôle
1.2. Identification des patients à risque de mortalité
- ATCD d'intubation pour AAG
- Hospitalisation ou visite aux urgences dans l'année précédente
- Traitement corticoïde oral en cours ou récent
- Pas de traitement de fond (CSI) ; mauvaise observance ; pas de plan d'action écrit (mauvaise éducation sanitaire)
- Usage fréquent de SABA dans le mois précédent (1 flacon de salbutamol ou plus)
- Affection psychiatrique, ou problèmes psychosociaux
- Allergie alimentaire chez un asthmatique
Ces facteurs doivent être identifiés, et le patient doit être encourager à aller aux urgences rapidement en cas d'exacerbation
2. Diagnostic
- Modification des symptômes et de la fonction respiratoire
- Paramètres fonctionnels (VEMS, DEP) sont plus fiables que les symptômes dans l'appréciation de la gravité ; la fréquence des symptômes pourrait être plus sensibles dans l'identification de l'exacerbation
- Une minorité de patients ressentent mal la baisse de la fonction respiratoire (pas/peu de symptômes), surtout ceux ayant un ATCD d'AAG et les hommes
3. Évaluation de la sévérité
- Sans trop retarder la prise en charge
- Signe de gravité ⇒ transfert tout en commençant SABA, corticoïdes systémiques et O2
- Anamnèse :
- Début des troubles et facteur déclenchant (si connu)
- Sévérité des symptômes (limitation des activités, sommeil perturbé)
- Symptômes d'anaphylaxie
- Facteurs de risque d'AAG
- Traitements en cours (molécules, doses, observance)
- Examen :
- Conscience, T°, Fc, Fr, PA, parole, signes de lutte, sibilants
- Signes de complication (anaphylaxie, pneumonie, PNO)
- Autres (insuffisance cardiaque, obstruction des VA, signes d'EP)
- Mesures objectives :
- Fonction pulmonaire : DEP, voir VEMS (indispensable)
- SpO2 : doit être monitoré, surtout chez les enfants (DEP impossible) ; < 92% ⇒ prédit besoin d'hospitalisation, < 90% ⇒ thérapie agressive (crise sévère)
- Gaz du sang : pas en routine : quand DEP/VEMS < 50%, mauvaise réponse ou aggravation ; PaO2 < 60 mmHg + PaCO2 ≥ 45 mmHg ⇒ décompensation respiratoire (+ somnolence ou épuisement ⇒ réanimation)
- TLT : si suspicion de complication
4. Self-management et plan d'action écrit
- Tous les patients doivent avoir un plan d'action écrit
- Aide à reconnaitre et à agir : quand et comment modifier les traitements (urgence, fond), prendre des CSO et aller aux urgences
- Adapté à chaque patient, régulièrement réévalué
4.1. Options thérapeutiques
- SABA :
- Doses répétés durant 1 ou 2 jours ⇒ revoir et/ou augmenter le traitement de fond, surtout si réponse insuffisante
- CSI :
- Doubler la dose de CSI ⇒ meilleur pronostic (moins de progression vers exacerbation sévère) et moins de visite aux urgences
- CSI à forte dose pendant 7 à 14 jours (500-1600µg BDP-HFA équivalent) ⇒ équivalent à CSO
- CSI faible dose + LABA action rapide (formoterol) :
- SMART ⇒ réduction des exacerbations nécessitant OCS et hospitalisation (corticoïde additionnel précoce)
- Formoterol : dose max = 72 µg/j
- CSO : quand :
- Pas de réponse après 2 à 3 jours
- Détérioration rapide de la fonction respiratoire ou DEP/VEMS < 60%
- ATCD d'exacerbation sévère soudaine
4.2. Évaluation de la réponse
- Poursuite de la détérioration malgré le plan d'action ⇒ consulter médecin traitant ou visite aux urgences
4.3. Suivi ultérieur
- Voir médecin traitant dans les 1 à 2 semaines
- Ré-évaluer le plan d'action
- Maintenir l'augmentation du traitement de fond pendant 2 à 4 semaines, voir plus si asthme non controlé depuis un moment (après vérification de la technique d'inhalation)
5. Prise en charge en unité de soin de base
5.1. Traitements
- Buts :
- Lever rapidement l'obstruction et l'hypoxie
- Traiter l'inflammation sous-jacente
- Prévenir les rechutes
- SABA :
- 4-10 bouffées en chambre /20 minutes la première heure, puis selon la réponse (de 4-10 bff /3-4h à 6-10 bff /1-2h)
- Bonne réponse (DEP > 60-80% pendant 3-4h) ⇒ arrêt
- pMDI en chambre ou DPI équivalent au nébuliseur dans l'exacerbation non sévère
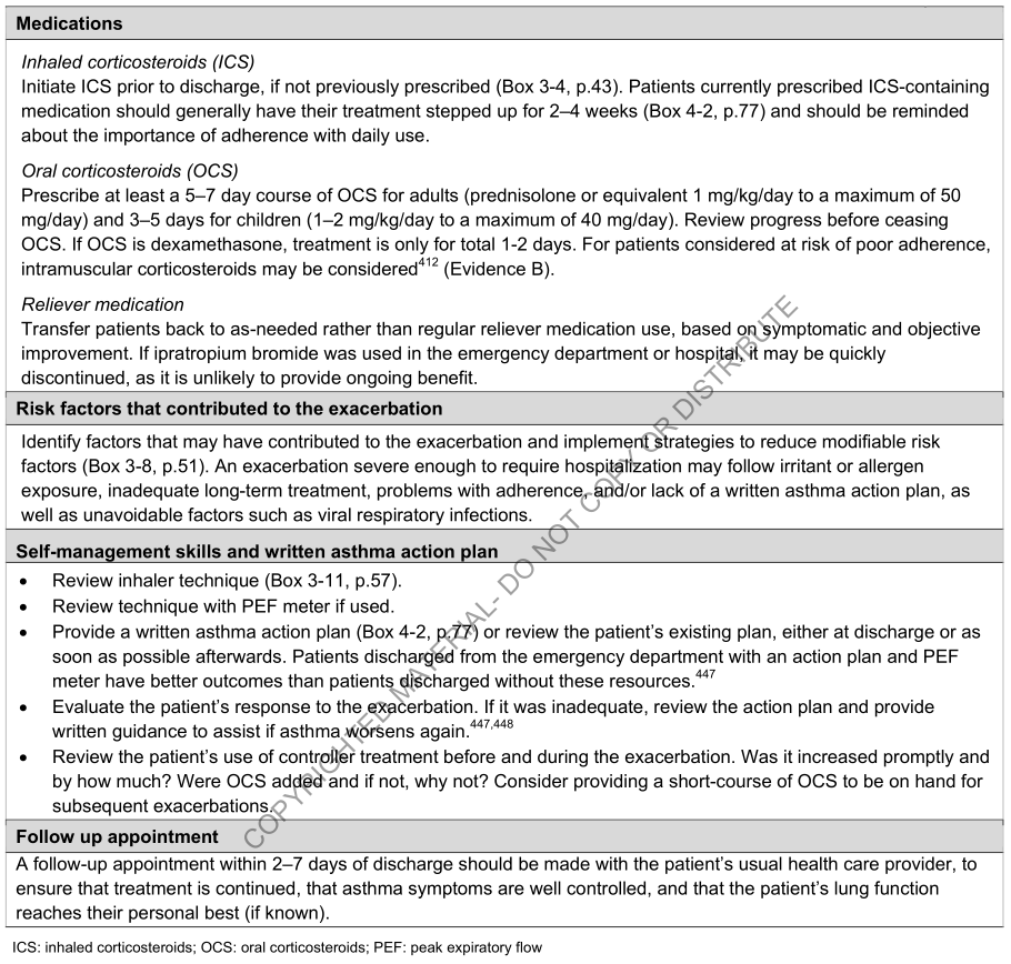
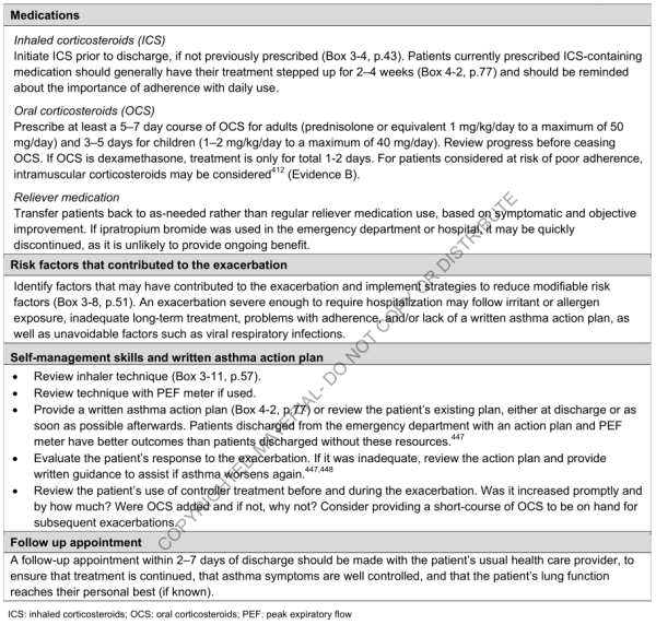
- CSO :
- À administrer rapidement, surtout si détérioration ou si le plan d'action à échouer
- 1 mg/kg/j (max 50 mg/j), 1-2 mg/kg/j chez les enfants (max 40 mg/j) pendant 5 à 7 jours
- Traitement de fond : selon les cas :
- Augmenter temporairement (2 à 4 semaines) la dose
- Ou instaurer un traitement contenant des ICS
- O2 au besoin ; cible : 93-95% (94-98% enfants 6-11 ans)
- Antibiotiques : non recommandés, sauf surinfection bactérienne évidente (CSS à débuter avant de considérer les antibiotiques)
5.2. Évaluation de la réponse
- Surveillance rapprochée : si détérioration, non réponse ou signes prédictif d'asthme fatal ⇒ transfert
- Sortie jugée surtout sur la fonction respiratoire (DEP/VEMS)
5.3. Suivi ultérieur
- Ordonnance de sortie :
- Traitement d'urgence (SABA) au besoin (pas en continu)
- Traitement de fond (re)adapté
- CSO en cure courte
- Consultation de contrôle à programmer dans les 2 à 7 jours :
- Évaluation de la crise, arrêt des CSO?
- Évaluation du contrôle de la maladie, l'observance et la technique d'inhalation
- Évaluation du plan d'action écrit
- Explorer les facteurs déclenchant
6. Prise en charge aux urgences
6.1. Traitements
- O2 :
- Débit guidé par SpO2, cible 93-95% (94-98% enfant 6-11 ans)
- SABA :
- pMDI + chambre ou nébulisation, en continue ou en intermittence
- Voie IV : pas systématique
- َAdrénaline :
- Indiquée dans l'anaphylaxie ou l'angio-œdème
- Corticoïdes systémiques :
- À administrer au plus tôt (dans l'heure), à tous les patients (sauf crise très légère)
- Accélère la résolution de la crise et préviennent les rechutes
- Voie orale préférable (même efficacité), sauf exception (ne peut pas avaler, trop dyspnéique, altération de la vigilance, vomissements…) ; IM à la sortie : intéressant en cas de risque de non observance
- 50 mg d'équivalent prednisolone en dose unique matinale, ou 200 mg d'hydrocortisone en plusieurs prises
- Durée 5 à 7 jours (même efficacité que 10 à 14 jours)
- Pas de dégression
- CSI :
- Intérêt chez les patients n'ayant pas reçu de corticoïde systémique ; pas de preuve d'intérêt chez ceux en ayant reçu
- Facteur cout +++
- Indispensables à la sortie (instauration, step-up)
- Autres :
- Ipratropium bromure : intérêt quand associé avec SABA dans la crise modérée à sévère (moins d'hospitalisation)
- Théophylline : non recommandée (efficacité limitée, profile de sécurité) comparé aux SABA
- Magnésium : intérêt chez les patients en crise sévère (DEP < 30%, mauvaise réponse, hypoxie persistante) ; pas de preuves concrètes pour les autres
- En perfusion de 2g sur 20 minutes, ou en nébulisation
- ICS + LABA : pas de recommandation dans ce cas de figure
- Antibiotiques : pas systématiques, sauf signe évident de surinfection
- Sédatifs : contre-indiqués
- VNI : pas de recommandation
6.2. Évaluation de la réponse
- Clinique et SpO2 +++
- DEP après 1h (après les 3 premières administrations de bronchodilatateur)
- Détérioration ⇒ évaluer transfert en USI
6.2.1. Hospitalisation ou Sortie ?
- DEP +++ :
- < 40% post traitement, ou < 25% pré-traitement ⇒ hospitalisation recommandée
- < 60% ⇒ sotie possible en tenant compte des facteurs de risque d'asthme fatal et de la possibilité de suivi
- > 60% ⇒ sortie recommandée en tenant compte des facteurs de risque
- Patient avec facteur de risque d'asthme fatal devrait être hospitalisés
6.3. Suivi ultérieur
cours/residanat/pneumologie/prise_en_charge_de_l_asthme_en_situation_d_urgence.txt · Dernière modification : 2019/04/16 13:36 de admin@medwiki-dz.com




